Home
/ Persamaan Dan Contoh Soal Serta Pembahasaannya Tentang Viskositas / Contoh Soal Grafik Materi Viskositas Jawabanku Id : Jika , maka tentukan nilai (un 2008) pembahasan.
Persamaan Dan Contoh Soal Serta Pembahasaannya Tentang Viskositas / Contoh Soal Grafik Materi Viskositas Jawabanku Id : Jika , maka tentukan nilai (un 2008) pembahasan.
Persamaan Dan Contoh Soal Serta Pembahasaannya Tentang Viskositas / Contoh Soal Grafik Materi Viskositas Jawabanku Id : Jika , maka tentukan nilai (un 2008) pembahasan.. Jika dan memenuhi , serta p bilangan rasional, maka p adalah (spmb 2002) pembahasan A = luas penampang (m 2) untuk lebih jelasnya perhatikan contoh soal debit, persamaan kontinuitas dan pembahasannya dibawah ini. Soal persamaan nilai mutlak serta pembahasannya jelas dan mudah nilai mutlak x 3 2x 8 5 brainly co id soal dan pembahasan pertidaksamaan nilai mutlak persamaan nilai mutlak linear satu variabel dan contoh soalnya Pertidaksamaan irasional dan rasional matematika ipa kelas 10 quipper blog. Soal utbk bahasa inggris tahun 2017 dan pembahasannya 04/08/2021;
Contoh soal persamaan dan pertidaksamaan rasional dan irasional berbagi contoh soal cute766 Gambarlah grafik fungsi eksponen f x 2 x dengan x r. Untuk penjelasan lebih detail seperti rumus, cara mengerjakan dan contoh soal bisa dilanjutkan pembahasan selanjutnya. Jika , maka tentukan nilai (un 2008) pembahasan. Di sini sudah kami rangkum beberapa latihan soal spltv untuk kita pelajari bersama.
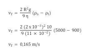
Pdf Viskositas Alfian Muhammad Reza Academia Edu from 0.academia-photos.com Apa saja contoh soal eksponen? Contoh soal hukum bernoulli & pembahasan contoh soal 1. 34 tempat penampungan air ucun matematika smp 2016 kode a april 24 2016. Biasa ditemukan saat belajar matematika di jenjang sekolah menengah atas (sma). Menggunakan sifat sifat eksponen untuk menyederhanakan bentuk bentuk eksponen. Viskositas adalah kekentalan suatu fluida yang disebabkan oleh adanya gaya gesekan antara molekul postingan ini membahas contoh soal tegangan permukaan, kapilaritas, viskositas dan contoh soal 2. Untuk sistem persamaan linear satu variabel persamaannya hanya memiliki satu variabel saja. Pada pertemuan sebelumnya telah dibahas tentang pengertian persamaan logaritma dimana diartikel sebelumnya diuraikan lengkap mulai dari pengertian, sifat, rumus, dan beberapa contoh soal namun tidak banyak.
Pada titik 2, pipa memiliki ketinggian 1,2 meter lebih tinggi dari titik 1 dan mengalir dengan kecepatan v 2 = 0,75 m/s.
Menggunakan sifat sifat eksponen untuk menyederhanakan bentuk bentuk eksponen. Contoh soal hukum bernoulli & pembahasan contoh soal 1. Eksponen biasanya dinyatakan dalam persamaan dan pertidaksamaan. Pada titik 2, pipa memiliki ketinggian 1,2 meter lebih tinggi dari titik 1 dan mengalir dengan kecepatan v 2 = 0,75 m/s. Contoh soal persamaan eksponen, pertidaksamaan eksponen, dan pembahasan contoh soal 1. Rangkuman materi, contoh soal & pembahasan perbandingan & skala sd 08/08/2021; Rangkuman materi, contoh soal & pembahasan pecahan sd 02. Sementara itu untuk sistem persamaan linear dua variabel persamaannya sudah memiliki dua variabel. Contoh soal dan pembahasan tentang turunan fungsi. Rangkuman materi, contoh soal & pembahasan kpk dan fpb sd 12/08/2021; Contoh soal grafik fungsi eksponen kelas 10 dan pembahasannya. Soal persamaan nilai mutlak serta pembahasannya jelas dan mudah nilai mutlak x 3 2x 8 5 brainly co id soal dan pembahasan pertidaksamaan nilai mutlak persamaan nilai mutlak linear satu variabel dan contoh soalnya Untuk tercapainya suatu reaksi dibutuhkan energi dengan jumlah yang sesuai dengan energi aktivasi untuk menginisiasi terjadinya reaksi tersebut.
Contoh soal pilihan ganda dan pembahasan tentang termokimia. Pada titik 2, pipa memiliki ketinggian 1,2 meter lebih tinggi dari titik 1 dan mengalir dengan kecepatan v 2 = 0,75 m/s. Biasa ditemukan saat belajar matematika di jenjang sekolah menengah atas (sma). Untuk lebih jelasnya perhatikan contoh soal tegangan permukaan, kapilaritas, viskositas dan hukum stokes dibawah ini. Contoh soal dan pembahasan tentang turunan fungsi.
Visikositas Difusi Hukum Fick Ppt Download from slideplayer.info Rangkuman materi, contoh soal & pembahasan kpk dan fpb sd 12/08/2021; Garis 5x 12y 15 0 memiliki gradien m a b 5 12 5 12 karena garis yang ditanyakan adalah garis yang tegak lurus. Di sini sudah kami rangkum beberapa latihan soal spltv untuk kita pelajari bersama. Pada kesempatan kali ini kita akan membahas tentang contoh soal sistem persamaan linear tiga variabel (spltv) beserta pembahasannya. Soal utbk bahasa inggris tahun 2017 dan pembahasannya 04/08/2021; 34 tempat penampungan air ucun matematika smp 2016 kode a april 24 2016. Soal persamaan nilai mutlak serta pembahasannya jelas dan mudah nilai mutlak x 3 2x 8 5 brainly co id soal dan pembahasan pertidaksamaan nilai mutlak persamaan nilai mutlak linear satu variabel dan contoh soalnya Jika gaya tegangan permukaan 4.
Air dialirkan melalui pipa seperti pada gambar di atas.
Untuk penjelasan lebih detail seperti rumus, cara mengerjakan dan contoh soal bisa dilanjutkan pembahasan selanjutnya. Viskositas adalah kekentalan suatu fluida yang disebabkan oleh adanya gaya gesekan antara molekul postingan ini membahas contoh soal tegangan permukaan, kapilaritas, viskositas dan contoh soal 2. Soal persamaan nilai mutlak serta pembahasannya jelas dan mudah nilai mutlak x 3 2x 8 5 brainly co id soal dan pembahasan pertidaksamaan nilai mutlak persamaan nilai mutlak linear satu variabel dan contoh soalnya Rangkuman materi, contoh soal & pembahasan perbandingan & skala sd 08/08/2021; Contoh soal dan pembahasan tentang persamaan lingkaran. Contoh soal pertidaksamaan irasional dan jawabannya. Contoh soal dan pembahasan tentang turunan fungsi. Garis 5x 12y 15 0 memiliki gradien m a b 5 12 5 12 karena garis yang ditanyakan adalah garis yang tegak lurus. 34 tempat penampungan air ucun matematika smp 2016 kode a april 24 2016. Pertidaksamaan kuadrat serta contoh soal dan pembahasannya diposkan pada 12 desember 2018 13 desember 2018 oleh julianti12eka pertidaksamaan kuadrat sama dengan pertidaksamaan linear yakni bentuk penghubung antara ruas kanan dan kiri adalah tanda pertidaksamaan seperti kurang dari (<), kurang dari sama dengan (<), lebih dari(>) dan lebih. Sebuah kawat sepanjang 10 cm berada diatas permukaan zat cair. Berikut data lengkap tentang contoh soal grafik fungsi eksponen beserta pembahasannya. Untuk lebih jelasnya perhatikan contoh soal tegangan permukaan, kapilaritas, viskositas dan hukum stokes dibawah ini.
Untuk tercapainya suatu reaksi dibutuhkan energi dengan jumlah yang sesuai dengan energi aktivasi untuk menginisiasi terjadinya reaksi tersebut. Pertidaksamaan kuadrat serta contoh soal dan pembahasannya diposkan pada 12 desember 2018 13 desember 2018 oleh julianti12eka pertidaksamaan kuadrat sama dengan pertidaksamaan linear yakni bentuk penghubung antara ruas kanan dan kiri adalah tanda pertidaksamaan seperti kurang dari (<), kurang dari sama dengan (<), lebih dari(>) dan lebih. Rangkuman materi, contoh soal & pembahasan pangkat dan akar sd 15/08/2021; Sementara itu untuk sistem persamaan linear dua variabel persamaannya sudah memiliki dua variabel. Yang perlu diperhatikan adalah bagaimana kita mengerjakan soal soal logaritma dengan teliti step by step.
Viskositas Pengertian Rumus Materi Laporan Contoh Manfaat from rumus.co.id Pada kesempatan kali ini kita akan membahas tentang contoh soal sistem persamaan linear tiga variabel (spltv) beserta pembahasannya. Gambarlah grafik fungsi eksponen f x 2 x dengan x r. Pada titik 1 diketahui dari pengukuran kecepatan air v 1 = 3 m/s dan tekanannya p 1 = 12300 pa. Untuk sistem persamaan linear satu variabel persamaannya hanya memiliki satu variabel saja. Demikian uraian mengenai contoh dari tumbukan lenting sempurna beserta contoh soal dan pembahasannya. Rangkuman materi, contoh soal & pembahasan kpk dan fpb sd 12/08/2021; Contoh soal hukum bernoulli & pembahasan contoh soal 1. Berikut adalah contoh soal cerita tentang persamaan eksponen.
Contoh soal grafik fungsi eksponen kelas 10 dan pembahasannya.
A = luas penampang (m 2) untuk lebih jelasnya perhatikan contoh soal debit, persamaan kontinuitas dan pembahasannya dibawah ini. Contoh soal himpunan dan jawabannya kelas 7. Pada pertemuan sebelumnya telah dibahas tentang pengertian persamaan logaritma dimana diartikel sebelumnya diuraikan lengkap mulai dari pengertian, sifat, rumus, dan beberapa contoh soal namun tidak banyak. Biasa ditemukan saat belajar matematika di jenjang sekolah menengah atas (sma). Contoh soal pilihan ganda dan pembahasan tentang termokimia. Pertidaksamaan irasional dan rasional matematika ipa kelas 10 quipper blog. Xi balok elastis statis tak tentu pdf free download from docplayer.info. Contoh soal persamaan dan pertidaksamaan rasional dan irasional berbagi contoh soal cute766 Jadi secara umum tabungan orang tersebut dapat kita tulis dalam bentuk fungsi lama simpanan n tahun dengan persamaan. Contoh soal dan pembahasan tentang persamaan lingkaran. Berikan 10 contoh soal tentang persamaan dan pertidaksamaan. Rangkuman materi, contoh soal & pembahasan pangkat dan akar sd 15/08/2021; Contoh soal dan pembahasan persamaan dan fungsi ek.
Share
Post a Comment
for "Persamaan Dan Contoh Soal Serta Pembahasaannya Tentang Viskositas / Contoh Soal Grafik Materi Viskositas Jawabanku Id : Jika , maka tentukan nilai (un 2008) pembahasan."
Post a Comment for "Persamaan Dan Contoh Soal Serta Pembahasaannya Tentang Viskositas / Contoh Soal Grafik Materi Viskositas Jawabanku Id : Jika , maka tentukan nilai (un 2008) pembahasan."